
Візуалізація даних у R за допомогою ggplot2
Лекція з практичними прикладами на R
1 Презентація
🎯 Мета лекції. Зрозуміти принципи Grammar of Graphics, навчитися будувати інформативні графіки у ggplot2 (точки, лінії, стовпчики, боксплоти, фасети), змінювати шкали та теми, комбінувати графіки й обирати коректну візуалізацію під завдання аналізу та презентації.
2 Навіщо візуалізація? 🧭
Візуалізація слугує двом основним цілям:
- Аналіз (exploration): бачити закономірності, тренди, аномалії; допомагає формулювати гіпотези.
- Презентація (communication): привернути увагу, підкреслити висновок, продати ідею.
3 Коротко про Grammar of Graphics 🧱
Grammar of Graphics описує графік як комбінацію незалежних «цеглинок»:
- data: таблиця спостережень;
- aesthetics (aes): відображення змінних у візуальні властивості (x, y, color, size, shape);
- geoms: геометричні об’єкти (точки, лінії, області);
- coord: система координат (декартова, логарифмічна, полярна, картографічна);
- facets: панелі за групами;
- scales & guides: шкали відображення й легенди;
- themes: стилізація (сітка, шрифти, фони).
Найпростіший приклад (логіка шарів):
Ту ж мапінґ-логіку можна винести в ggplot(...) і додавати різні геометри на тих самих естетиках.
4 Робочий процес з ggplot2 ⚙️
- Обрати дані
-
Описати відповідність змінних в естетику (
aes) - Підібрати геометрію під задачу
- Налаштувати шкали/легенди
- Додати фасети за потреби
- Застосувати тему.
- Стартовий шаблон:
Code
ggplot(mpg, aes(displ, hwy)) +
geom_point() +
labs(x = "Робочий об’єм", y = "Трасова витрата", title = "Експлорер ефективності")
Порада: формуйте «історію» графіка з самого початку: яку залежність демонструєте і чому саме ця геометрія найкраща.
5 Геометрії: що і коли використовувати 📌
5.1 Точки (scatter): кореляції та кластери
Code
ggplot(mpg, aes(displ, hwy, color = class)) +
geom_point(size = 2, alpha = 0.8) +
guides(color = guide_legend(title = "Клас авто"))
- Зручно для двох кількісних змінних; колір/форма додають категорії.
- Розмір (
size) задавайте позаaes, якщо це константа.
5.2 Лінії (line): тренди й ряди
- Підходить для часових рядів, профілів, кумулятивних серій.
5.3 Стовпчики (bar): категорія → значення
- Для кількісної метрики за категоріями; для агрегатів — використовуйте
stat = "summary".
5.4 Боксплоти (boxplot): розподіли між групами
Code
ggplot(mpg, aes(class, hwy)) +
geom_boxplot()
- Показує медіану, квартилі, викиди — добрий старт для порівнянь груп.
Важливо: естетика має бути всередині
aes(...), якщо мапите змінну; не можна відображати неперервну змінну у shape без бінування — це помилка масштабу форм.
6 Естетики, шкали й легенди 🎨
- Колір/заливка: дискретні (класи) vs неперервні (градієнти).
- Розмір/прозорість: обережно із перцепцією — линійність не завжди інтуїтивна.
-
Шкали:
scale_x_log10(),scale_color_brewer(),scale_colour_viridis_c()(дружня до дальтонізму палітра).
Code
ggplot(mpg, aes(displ, hwy, color = displ)) +
geom_point(size = 2) +
scale_colour_viridis_c(name = "Об’єм")
- Вісі та підписи: назви, одиниці, форматування чисел — це частина історії графіка.
-
Легенди: керуйте розміщенням і заголовком через
guides()таtheme(legend.position=...). - Базову «анатомію» (геометрії, модифікацію осей і шкал) варто тримати під рукою як чекліст.
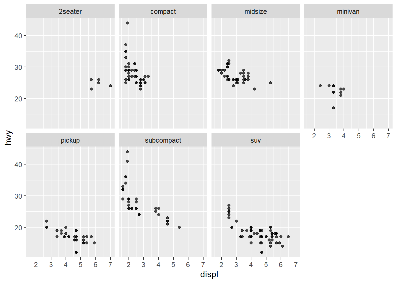
7 Фасети: панелі за категоріями 🗂️
Фасетування розкладає дані по панелях, дозволяючи порівнювати групи «ряд-до-ряду»:
Code
ggplot(mpg, aes(displ, hwy)) +
geom_point(alpha = 0.7) +
facet_wrap(~ class, ncol = 4)
- Використовуйте узгоджені масштаби осей, якщо важливі відносні порівняння;
scales = "free"— коли важливі локальні патерни.
8 Статистики та згладжування 📈
Багато геометрій мають вбудовані «статистики» — бінування, щільності, регресійні лінії.
-
Лінійна тенденція:
geom_smooth(method = "lm")додає регресію.
Code
ggplot(mpg, aes(displ, hwy, color = class)) +
geom_point() +
geom_smooth(method = "lm", se = FALSE)
- Важно розуміти, що
stat_*перетворює дані перед малюванням (напр.,stat_bin,stat_density2d).
9 Координатні системи та трансформації 🗺️
Окрім стандартної декартової системи, корисні:
-
Лог-шкала для асиметричних розподілів (
scale_x_log10()); -
Переворот осей (
coord_flip()) для довгих підписів; -
Картографія через сумісні пакети, де
ggplot2виступає як шари на мапі; приклад ізstat_density2d()демонструє контури за інтенсивністю точок.
10 Теми та стиль 🧩
Оформлення — завершальний штрих, який переводить «чернетку» в «презентаційний» вигляд:
Code
ggplot(mpg, aes(displ, hwy, color = class)) +
geom_point() +
labs(title = "Ефективність авто", x = "displ", y = "hwy") +
theme_minimal(base_size = 12)
- Спробуйте
theme_minimal(),theme_classic(),theme_bw(). - Дивіться галерею розширень ggplot2 для спеціальних тем, геометрій і шкал.
11 Гарні практики ✅
- Концептуалізуйте графік до коду: що фіксоване, що варіює, яка теза?
- Одне повідомлення — один графік; для огляду робіть серією простих.
- Підписи, одиниці, джерела — не опускайте.
-
Палітри, дружні до дальтонізму (наприклад,
viridis). - Експлораторні vs фінальні графіки: різні вимоги до чистоти й деталей.
12 Міні-практика 🧪
- Побудуйте scatter для двох кількісних змінних (візьміть
mpg), додайте лінійну регресію, поясніть зміст нахилу. - Зробіть facet_wrap за категорією і прокоментуйте відмінності між панелями.
- Перекладіть графік у лог-шкалу по осі x; поясніть, як змінився вигляд і інтерпретація.
- Зберіть два графіки в макет patchwork, з однією легендою.
13 Література й джерела 📚
- Слайди «R – Data Visualization»: grammar of graphics,
geom_point, фасетування,geom_smooth, теми, палітри таpatchwork. - A. Gohil, R Data Visualization Cookbook (Packt): рецепти щільностей/контурів (
stat_density2d), палітри та розширення екосистеми.
14 Приклади з авторської лекції (з поясненнями)
14.1 Приклад з лекції #1
Code
library(ggplot2)
library(plotly)
library(dplyr)
library(tidyr)
library(gapminder)
library(gganimate)
library(DT)
theme_brand <- function()
theme_minimal(base_family="Arial") +
theme(plot.title=element_text(face="bold",
color="#3f5988",
size=20),
axis.title=element_text(color="#3f5988"),
legend.position="bottom")
scale_color_brand <- scale_color_manual(
values=c("#3f5988","#f56d40","#3c699b","#f6c5a0","#1b998b","#c44536"))
scale_fill_brand <- scale_fill_manual(
values=c("#3f5988","#f56d40","#3c699b","#f6c5a0","#1b998b","#c44536"))Навіщо: Продемонструвати окремий прийом побудови/оформлення графіка.
- Шкали: використано налаштування шкал/палітр (наприклад, лог-шкала або колірні градієнти).
Коментарі/поради:
- Додавайте
labs(title, x, y, caption)для зрозумілих підписів. - Керуйте легендою через
guides()іtheme(legend.position=...). - Для великих перекриттів точок використовуйте
alpha < 1або бінування (geom_hex,geom_bin2d). - Якщо категорій багато, розгляньте фасетування або впорядкування факторів.
14.2 Приклад з лекції #2
Навіщо: Продемонструвати окремий прийом побудови/оформлення графіка.
- Шкали: використано налаштування шкал/палітр (наприклад, лог-шкала або колірні градієнти).
Коментарі/поради:
- Додавайте
labs(title, x, y, caption)для зрозумілих підписів. - Керуйте легендою через
guides()іtheme(legend.position=...). - Для великих перекриттів точок використовуйте
alpha < 1або бінування (geom_hex,geom_bin2d). - Якщо категорій багато, розгляньте фасетування або впорядкування факторів.
14.3 Приклад з лекції #3
Code
head(gapminder)Навіщо: Продемонструвати окремий прийом побудови/оформлення графіка.
Коментарі/поради:
- Додавайте
labs(title, x, y, caption)для зрозумілих підписів. - Керуйте легендою через
guides()іtheme(legend.position=...). - Для великих перекриттів точок використовуйте
alpha < 1або бінування (geom_hex,geom_bin2d). - Якщо категорій багато, розгляньте фасетування або впорядкування факторів.
14.4 Приклад з лекції #4
Навіщо: Продемонструвати окремий прийом побудови/оформлення графіка.
Коментарі/поради:
- Додавайте
labs(title, x, y, caption)для зрозумілих підписів. - Керуйте легендою через
guides()іtheme(legend.position=...). - Для великих перекриттів точок використовуйте
alpha < 1або бінування (geom_hex,geom_bin2d). - Якщо категорій багато, розгляньте фасетування або впорядкування факторів.
14.5 Приклад з лекції #5
Навіщо: Продемонструвати окремий прийом побудови/оформлення графіка.
Коментарі/поради:
- Додавайте
labs(title, x, y, caption)для зрозумілих підписів. - Керуйте легендою через
guides()іtheme(legend.position=...). - Для великих перекриттів точок використовуйте
alpha < 1або бінування (geom_hex,geom_bin2d). - Якщо категорій багато, розгляньте фасетування або впорядкування факторів.
14.6 Приклад з лекції #6
Code
head(economics)Навіщо: Продемонструвати окремий прийом побудови/оформлення графіка.
Коментарі/поради:
- Додавайте
labs(title, x, y, caption)для зрозумілих підписів. - Керуйте легендою через
guides()іtheme(legend.position=...). - Для великих перекриттів точок використовуйте
alpha < 1або бінування (geom_hex,geom_bin2d). - Якщо категорій багато, розгляньте фасетування або впорядкування факторів.
14.7 Приклад з лекції #7
Навіщо: Продемонструвати окремий прийом побудови/оформлення графіка.
Коментарі/поради:
- Додавайте
labs(title, x, y, caption)для зрозумілих підписів. - Керуйте легендою через
guides()іtheme(legend.position=...). - Для великих перекриттів точок використовуйте
alpha < 1або бінування (geom_hex,geom_bin2d). - Якщо категорій багато, розгляньте фасетування або впорядкування факторів.
14.8 Приклад з лекції #8
Code
head(mtcars)Навіщо: Продемонструвати окремий прийом побудови/оформлення графіка.
Коментарі/поради:
- Додавайте
labs(title, x, y, caption)для зрозумілих підписів. - Керуйте легендою через
guides()іtheme(legend.position=...). - Для великих перекриттів точок використовуйте
alpha < 1або бінування (geom_hex,geom_bin2d). - Якщо категорій багато, розгляньте фасетування або впорядкування факторів.
14.9 Приклад з лекції #9
Навіщо: Продемонструвати окремий прийом побудови/оформлення графіка.
Коментарі/поради:
- Додавайте
labs(title, x, y, caption)для зрозумілих підписів. - Керуйте легендою через
guides()іtheme(legend.position=...). - Для великих перекриттів точок використовуйте
alpha < 1або бінування (geom_hex,geom_bin2d). - Якщо категорій багато, розгляньте фасетування або впорядкування факторів.
14.10 Приклад з лекції #10
Навіщо: Продемонструвати окремий прийом побудови/оформлення графіка.
-
Мапінґ
aes(...): визначає, які стовпці даних відображаються у вісьx/y, та естетикиcolor/fill/shape/size. Переконайтеся, що неперервні змінні не мапляться уshape.
Коментарі/поради:
- Додавайте
labs(title, x, y, caption)для зрозумілих підписів. - Керуйте легендою через
guides()іtheme(legend.position=...). - Для великих перекриттів точок використовуйте
alpha < 1або бінування (geom_hex,geom_bin2d). - Якщо категорій багато, розгляньте фасетування або впорядкування факторів.
14.11 Приклад з лекції #11
Навіщо: Кореляції/кластери між двома кількісними змінними.
Геометрії:
point— відповідні типи елементів, які малюються поверх осей.Мапінґ
aes(...): визначає, які стовпці даних відображаються у вісьx/y, та естетикиcolor/fill/shape/size. Переконайтеся, що неперервні змінні не мапляться уshape.
Коментарі/поради:
- Додавайте
labs(title, x, y, caption)для зрозумілих підписів. - Керуйте легендою через
guides()іtheme(legend.position=...). - Для великих перекриттів точок використовуйте
alpha < 1або бінування (geom_hex,geom_bin2d). - Якщо категорій багато, розгляньте фасетування або впорядкування факторів.
14.12 Приклад з лекції #12
Навіщо: Кореляції/кластери між двома кількісними змінними.
Геометрії:
point— відповідні типи елементів, які малюються поверх осей.Мапінґ
aes(...): визначає, які стовпці даних відображаються у вісьx/y, та естетикиcolor/fill/shape/size. Переконайтеся, що неперервні змінні не мапляться уshape.
Коментарі/поради:
- Додавайте
labs(title, x, y, caption)для зрозумілих підписів. - Керуйте легендою через
guides()іtheme(legend.position=...). - Для великих перекриттів точок використовуйте
alpha < 1або бінування (geom_hex,geom_bin2d). - Якщо категорій багато, розгляньте фасетування або впорядкування факторів.
14.13 Приклад з лекції #13
Навіщо: Кореляції/кластери між двома кількісними змінними.
Геометрії:
point— відповідні типи елементів, які малюються поверх осей.Мапінґ
aes(...): визначає, які стовпці даних відображаються у вісьx/y, та естетикиcolor/fill/shape/size. Переконайтеся, що неперервні змінні не мапляться уshape.Шкали: використано налаштування шкал/палітр (наприклад, лог-шкала або колірні градієнти).
Коментарі/поради:
- Додавайте
labs(title, x, y, caption)для зрозумілих підписів. - Керуйте легендою через
guides()іtheme(legend.position=...). - Для великих перекриттів точок використовуйте
alpha < 1або бінування (geom_hex,geom_bin2d). - Якщо категорій багато, розгляньте фасетування або впорядкування факторів.
14.14 Приклад з лекції #14
Навіщо: Кореляції/кластери між двома кількісними змінними.
Геометрії:
point— відповідні типи елементів, які малюються поверх осей.Мапінґ
aes(...): визначає, які стовпці даних відображаються у вісьx/y, та естетикиcolor/fill/shape/size. Переконайтеся, що неперервні змінні не мапляться уshape.Шкали: використано налаштування шкал/палітр (наприклад, лог-шкала або колірні градієнти).
Коментарі/поради:
- Додавайте
labs(title, x, y, caption)для зрозумілих підписів. - Керуйте легендою через
guides()іtheme(legend.position=...). - Для великих перекриттів точок використовуйте
alpha < 1або бінування (geom_hex,geom_bin2d). - Якщо категорій багато, розгляньте фасетування або впорядкування факторів.
14.15 Приклад з лекції #15
Навіщо: Кореляції/кластери між двома кількісними змінними.
Геометрії:
point— відповідні типи елементів, які малюються поверх осей.Мапінґ
aes(...): визначає, які стовпці даних відображаються у вісьx/y, та естетикиcolor/fill/shape/size. Переконайтеся, що неперервні змінні не мапляться уshape.Шкали: використано налаштування шкал/палітр (наприклад, лог-шкала або колірні градієнти).
Коментарі/поради:
- Додавайте
labs(title, x, y, caption)для зрозумілих підписів. - Керуйте легендою через
guides()іtheme(legend.position=...). - Для великих перекриттів точок використовуйте
alpha < 1або бінування (geom_hex,geom_bin2d). - Якщо категорій багато, розгляньте фасетування або впорядкування факторів.
14.16 Приклад з лекції #16
Навіщо: Кореляції/кластери між двома кількісними змінними.
Геометрії:
point— відповідні типи елементів, які малюються поверх осей.Мапінґ
aes(...): визначає, які стовпці даних відображаються у вісьx/y, та естетикиcolor/fill/shape/size. Переконайтеся, що неперервні змінні не мапляться уshape.Шкали: використано налаштування шкал/палітр (наприклад, лог-шкала або колірні градієнти).
Коментарі/поради:
- Додавайте
labs(title, x, y, caption)для зрозумілих підписів. - Керуйте легендою через
guides()іtheme(legend.position=...). - Для великих перекриттів точок використовуйте
alpha < 1або бінування (geom_hex,geom_bin2d). - Якщо категорій багато, розгляньте фасетування або впорядкування факторів.
14.17 Приклад з лекції #17
Навіщо: Кореляції/кластери між двома кількісними змінними.
Геометрії:
point— відповідні типи елементів, які малюються поверх осей.Мапінґ
aes(...): визначає, які стовпці даних відображаються у вісьx/y, та естетикиcolor/fill/shape/size. Переконайтеся, що неперервні змінні не мапляться уshape.Шкали: використано налаштування шкал/палітр (наприклад, лог-шкала або колірні градієнти).
Коментарі/поради:
- Додавайте
labs(title, x, y, caption)для зрозумілих підписів. - Керуйте легендою через
guides()іtheme(legend.position=...). - Для великих перекриттів точок використовуйте
alpha < 1або бінування (geom_hex,geom_bin2d). - Якщо категорій багато, розгляньте фасетування або впорядкування факторів.
14.18 Приклад з лекції #18
Навіщо: Кореляції/кластери між двома кількісними змінними.
Геометрії:
point— відповідні типи елементів, які малюються поверх осей.Мапінґ
aes(...): визначає, які стовпці даних відображаються у вісьx/y, та естетикиcolor/fill/shape/size. Переконайтеся, що неперервні змінні не мапляться уshape.Шкали: використано налаштування шкал/палітр (наприклад, лог-шкала або колірні градієнти).
Коментарі/поради:
- Додавайте
labs(title, x, y, caption)для зрозумілих підписів. - Керуйте легендою через
guides()іtheme(legend.position=...). - Для великих перекриттів точок використовуйте
alpha < 1або бінування (geom_hex,geom_bin2d). - Якщо категорій багато, розгляньте фасетування або впорядкування факторів.
14.19 Приклад з лекції #19
Навіщо: Кореляції/кластери між двома кількісними змінними.
Геометрії:
point— відповідні типи елементів, які малюються поверх осей.Мапінґ
aes(...): визначає, які стовпці даних відображаються у вісьx/y, та естетикиcolor/fill/shape/size. Переконайтеся, що неперервні змінні не мапляться уshape.Шкали: використано налаштування шкал/палітр (наприклад, лог-шкала або колірні градієнти).
Коментарі/поради:
- Додавайте
labs(title, x, y, caption)для зрозумілих підписів. - Керуйте легендою через
guides()іtheme(legend.position=...). - Для великих перекриттів точок використовуйте
alpha < 1або бінування (geom_hex,geom_bin2d). - Якщо категорій багато, розгляньте фасетування або впорядкування факторів.
14.20 Приклад з лекції #20
Навіщо: Кореляції/кластери між двома кількісними змінними.
Геометрії:
point— відповідні типи елементів, які малюються поверх осей.Мапінґ
aes(...): визначає, які стовпці даних відображаються у вісьx/y, та естетикиcolor/fill/shape/size. Переконайтеся, що неперервні змінні не мапляться уshape.Шкали: використано налаштування шкал/палітр (наприклад, лог-шкала або колірні градієнти).
Коментарі/поради:
- Додавайте
labs(title, x, y, caption)для зрозумілих підписів. - Керуйте легендою через
guides()іtheme(legend.position=...). - Для великих перекриттів точок використовуйте
alpha < 1або бінування (geom_hex,geom_bin2d). - Якщо категорій багато, розгляньте фасетування або впорядкування факторів.
14.21 Приклад з лекції #21
Навіщо: Кореляції/кластери між двома кількісними змінними.
Геометрії:
point— відповідні типи елементів, які малюються поверх осей.Мапінґ
aes(...): визначає, які стовпці даних відображаються у вісьx/y, та естетикиcolor/fill/shape/size. Переконайтеся, що неперервні змінні не мапляться уshape.Фасети: приклад розкладення даних на панелі для порівняння підгруп (
facet_*).Шкали: використано налаштування шкал/палітр (наприклад, лог-шкала або колірні градієнти).
Коментарі/поради:
- Додавайте
labs(title, x, y, caption)для зрозумілих підписів. - Керуйте легендою через
guides()іtheme(legend.position=...). - Для великих перекриттів точок використовуйте
alpha < 1або бінування (geom_hex,geom_bin2d). - Якщо категорій багато, розгляньте фасетування або впорядкування факторів.
14.22 Приклад з лекції #22
Навіщо: Кореляції/кластери між двома кількісними змінними.
Геометрії:
point— відповідні типи елементів, які малюються поверх осей.Мапінґ
aes(...): визначає, які стовпці даних відображаються у вісьx/y, та естетикиcolor/fill/shape/size. Переконайтеся, що неперервні змінні не мапляться уshape.Фасети: приклад розкладення даних на панелі для порівняння підгруп (
facet_*).Шкали: використано налаштування шкал/палітр (наприклад, лог-шкала або колірні градієнти).
Коментарі/поради:
- Додавайте
labs(title, x, y, caption)для зрозумілих підписів. - Керуйте легендою через
guides()іtheme(legend.position=...). - Для великих перекриттів точок використовуйте
alpha < 1або бінування (geom_hex,geom_bin2d). - Якщо категорій багато, розгляньте фасетування або впорядкування факторів.
14.23 Приклад з лекції #23
Навіщо: Демонстрація залежності між змінними та трендової лінії (регресії).
Геометрії:
point,smooth— відповідні типи елементів, які малюються поверх осей.Мапінґ
aes(...): визначає, які стовпці даних відображаються у вісьx/y, та естетикиcolor/fill/shape/size. Переконайтеся, що неперервні змінні не мапляться уshape.Шкали: використано налаштування шкал/палітр (наприклад, лог-шкала або колірні градієнти).
Коментарі/поради:
- Додавайте
labs(title, x, y, caption)для зрозумілих підписів. - Керуйте легендою через
guides()іtheme(legend.position=...). - Для великих перекриттів точок використовуйте
alpha < 1або бінування (geom_hex,geom_bin2d). - Якщо категорій багато, розгляньте фасетування або впорядкування факторів.
14.24 Приклад з лекції #24
Навіщо: Демонстрація залежності між змінними та трендової лінії (регресії).
Геометрії:
point,smooth— відповідні типи елементів, які малюються поверх осей.Мапінґ
aes(...): визначає, які стовпці даних відображаються у вісьx/y, та естетикиcolor/fill/shape/size. Переконайтеся, що неперервні змінні не мапляться уshape.Шкали: використано налаштування шкал/палітр (наприклад, лог-шкала або колірні градієнти).
Коментарі/поради:
- Додавайте
labs(title, x, y, caption)для зрозумілих підписів. - Керуйте легендою через
guides()іtheme(legend.position=...). - Для великих перекриттів точок використовуйте
alpha < 1або бінування (geom_hex,geom_bin2d). - Якщо категорій багато, розгляньте фасетування або впорядкування факторів.
14.25 Приклад з лекції #25
Навіщо: Динаміка або профілі (часові ряди, зміни у функції x).
Геометрії:
line— відповідні типи елементів, які малюються поверх осей.Мапінґ
aes(...): визначає, які стовпці даних відображаються у вісьx/y, та естетикиcolor/fill/shape/size. Переконайтеся, що неперервні змінні не мапляться уshape.
Коментарі/поради:
- Додавайте
labs(title, x, y, caption)для зрозумілих підписів. - Керуйте легендою через
guides()іtheme(legend.position=...). - Для великих перекриттів точок використовуйте
alpha < 1або бінування (geom_hex,geom_bin2d). - Якщо категорій багато, розгляньте фасетування або впорядкування факторів.
14.26 Приклад з лекції #26
Навіщо: Динаміка або профілі (часові ряди, зміни у функції x).
Геометрії:
line— відповідні типи елементів, які малюються поверх осей.Мапінґ
aes(...): визначає, які стовпці даних відображаються у вісьx/y, та естетикиcolor/fill/shape/size. Переконайтеся, що неперервні змінні не мапляться уshape.
Коментарі/поради:
- Додавайте
labs(title, x, y, caption)для зрозумілих підписів. - Керуйте легендою через
guides()іtheme(legend.position=...). - Для великих перекриттів точок використовуйте
alpha < 1або бінування (geom_hex,geom_bin2d). - Якщо категорій багато, розгляньте фасетування або впорядкування факторів.
14.27 Приклад з лекції #27
Навіщо: Порівняння категорій за частотою або агрегованою метрикою.
Геометрії:
bar— відповідні типи елементів, які малюються поверх осей.Мапінґ
aes(...): визначає, які стовпці даних відображаються у вісьx/y, та естетикиcolor/fill/shape/size. Переконайтеся, що неперервні змінні не мапляться уshape.Шкали: використано налаштування шкал/палітр (наприклад, лог-шкала або колірні градієнти).
Коментарі/поради:
- Додавайте
labs(title, x, y, caption)для зрозумілих підписів. - Керуйте легендою через
guides()іtheme(legend.position=...). - Для великих перекриттів точок використовуйте
alpha < 1або бінування (geom_hex,geom_bin2d). - Якщо категорій багато, розгляньте фасетування або впорядкування факторів.
14.28 Приклад з лекції #28
Навіщо: Порівняння категорій за частотою або агрегованою метрикою.
Геометрії:
bar— відповідні типи елементів, які малюються поверх осей.Мапінґ
aes(...): визначає, які стовпці даних відображаються у вісьx/y, та естетикиcolor/fill/shape/size. Переконайтеся, що неперервні змінні не мапляться уshape.Шкали: використано налаштування шкал/палітр (наприклад, лог-шкала або колірні градієнти).
Коментарі/поради:
- Додавайте
labs(title, x, y, caption)для зрозумілих підписів. - Керуйте легендою через
guides()іtheme(legend.position=...). - Для великих перекриттів точок використовуйте
alpha < 1або бінування (geom_hex,geom_bin2d). - Якщо категорій багато, розгляньте фасетування або впорядкування факторів.
14.29 Приклад з лекції #29
Навіщо: Опис розподілу та форма щільності.
Геометрії:
histogram— відповідні типи елементів, які малюються поверх осей.Мапінґ
aes(...): визначає, які стовпці даних відображаються у вісьx/y, та естетикиcolor/fill/shape/size. Переконайтеся, що неперервні змінні не мапляться уshape.
Коментарі/поради:
- Додавайте
labs(title, x, y, caption)для зрозумілих підписів. - Керуйте легендою через
guides()іtheme(legend.position=...). - Для великих перекриттів точок використовуйте
alpha < 1або бінування (geom_hex,geom_bin2d). - Якщо категорій багато, розгляньте фасетування або впорядкування факторів.
14.30 Приклад з лекції #30
Навіщо: Опис розподілу та форма щільності.
Геометрії:
histogram— відповідні типи елементів, які малюються поверх осей.Мапінґ
aes(...): визначає, які стовпці даних відображаються у вісьx/y, та естетикиcolor/fill/shape/size. Переконайтеся, що неперервні змінні не мапляться уshape.
Коментарі/поради:
- Додавайте
labs(title, x, y, caption)для зрозумілих підписів. - Керуйте легендою через
guides()іtheme(legend.position=...). - Для великих перекриттів точок використовуйте
alpha < 1або бінування (geom_hex,geom_bin2d). - Якщо категорій багато, розгляньте фасетування або впорядкування факторів.
14.31 Приклад з лекції #31
Навіщо: Опис розподілу та форма щільності.
Геометрії:
density— відповідні типи елементів, які малюються поверх осей.Мапінґ
aes(...): визначає, які стовпці даних відображаються у вісьx/y, та естетикиcolor/fill/shape/size. Переконайтеся, що неперервні змінні не мапляться уshape.Шкали: використано налаштування шкал/палітр (наприклад, лог-шкала або колірні градієнти).
Коментарі/поради:
- Додавайте
labs(title, x, y, caption)для зрозумілих підписів. - Керуйте легендою через
guides()іtheme(legend.position=...). - Для великих перекриттів точок використовуйте
alpha < 1або бінування (geom_hex,geom_bin2d). - Якщо категорій багато, розгляньте фасетування або впорядкування факторів.
14.32 Приклад з лекції #32
Навіщо: Опис розподілу та форма щільності.
Геометрії:
density— відповідні типи елементів, які малюються поверх осей.Мапінґ
aes(...): визначає, які стовпці даних відображаються у вісьx/y, та естетикиcolor/fill/shape/size. Переконайтеся, що неперервні змінні не мапляться уshape.Шкали: використано налаштування шкал/палітр (наприклад, лог-шкала або колірні градієнти).
Коментарі/поради:
- Додавайте
labs(title, x, y, caption)для зрозумілих підписів. - Керуйте легендою через
guides()іtheme(legend.position=...). - Для великих перекриттів точок використовуйте
alpha < 1або бінування (geom_hex,geom_bin2d). - Якщо категорій багато, розгляньте фасетування або впорядкування факторів.
14.33 Приклад з лекції #33
Навіщо: Порівняння розподілів/медіан між групами.
Геометрії:
boxplot— відповідні типи елементів, які малюються поверх осей.Мапінґ
aes(...): визначає, які стовпці даних відображаються у вісьx/y, та естетикиcolor/fill/shape/size. Переконайтеся, що неперервні змінні не мапляться уshape.Шкали: використано налаштування шкал/палітр (наприклад, лог-шкала або колірні градієнти).
Коментарі/поради:
- Додавайте
labs(title, x, y, caption)для зрозумілих підписів. - Керуйте легендою через
guides()іtheme(legend.position=...). - Для великих перекриттів точок використовуйте
alpha < 1або бінування (geom_hex,geom_bin2d). - Якщо категорій багато, розгляньте фасетування або впорядкування факторів.
14.34 Приклад з лекції #34
Навіщо: Порівняння розподілів/медіан між групами.
Геометрії:
boxplot— відповідні типи елементів, які малюються поверх осей.Мапінґ
aes(...): визначає, які стовпці даних відображаються у вісьx/y, та естетикиcolor/fill/shape/size. Переконайтеся, що неперервні змінні не мапляться уshape.Шкали: використано налаштування шкал/палітр (наприклад, лог-шкала або колірні градієнти).
Коментарі/поради:
- Додавайте
labs(title, x, y, caption)для зрозумілих підписів. - Керуйте легендою через
guides()іtheme(legend.position=...). - Для великих перекриттів точок використовуйте
alpha < 1або бінування (geom_hex,geom_bin2d). - Якщо категорій багато, розгляньте фасетування або впорядкування факторів.
14.35 Приклад з лекції #35
Навіщо: Порівняння розподілів/медіан між групами.
Геометрії:
violin— відповідні типи елементів, які малюються поверх осей.Мапінґ
aes(...): визначає, які стовпці даних відображаються у вісьx/y, та естетикиcolor/fill/shape/size. Переконайтеся, що неперервні змінні не мапляться уshape.Шкали: використано налаштування шкал/палітр (наприклад, лог-шкала або колірні градієнти).
Коментарі/поради:
- Додавайте
labs(title, x, y, caption)для зрозумілих підписів. - Керуйте легендою через
guides()іtheme(legend.position=...). - Для великих перекриттів точок використовуйте
alpha < 1або бінування (geom_hex,geom_bin2d). - Якщо категорій багато, розгляньте фасетування або впорядкування факторів.
14.36 Приклад з лекції #36
Навіщо: Порівняння розподілів/медіан між групами.
Геометрії:
violin— відповідні типи елементів, які малюються поверх осей.Мапінґ
aes(...): визначає, які стовпці даних відображаються у вісьx/y, та естетикиcolor/fill/shape/size. Переконайтеся, що неперервні змінні не мапляться уshape.Шкали: використано налаштування шкал/палітр (наприклад, лог-шкала або колірні градієнти).
Коментарі/поради:
- Додавайте
labs(title, x, y, caption)для зрозумілих підписів. - Керуйте легендою через
guides()іtheme(legend.position=...). - Для великих перекриттів точок використовуйте
alpha < 1або бінування (geom_hex,geom_bin2d). - Якщо категорій багато, розгляньте фасетування або впорядкування факторів.
14.37 Приклад з лекції #37
Навіщо: Продемонструвати окремий прийом побудови/оформлення графіка.
Геометрії:
area— відповідні типи елементів, які малюються поверх осей.Мапінґ
aes(...): визначає, які стовпці даних відображаються у вісьx/y, та естетикиcolor/fill/shape/size. Переконайтеся, що неперервні змінні не мапляться уshape.
Коментарі/поради:
- Додавайте
labs(title, x, y, caption)для зрозумілих підписів. - Керуйте легендою через
guides()іtheme(legend.position=...). - Для великих перекриттів точок використовуйте
alpha < 1або бінування (geom_hex,geom_bin2d). - Якщо категорій багато, розгляньте фасетування або впорядкування факторів.
14.38 Приклад з лекції #38
Навіщо: Продемонструвати окремий прийом побудови/оформлення графіка.
Геометрії:
area— відповідні типи елементів, які малюються поверх осей.Мапінґ
aes(...): визначає, які стовпці даних відображаються у вісьx/y, та естетикиcolor/fill/shape/size. Переконайтеся, що неперервні змінні не мапляться уshape.
Коментарі/поради:
- Додавайте
labs(title, x, y, caption)для зрозумілих підписів. - Керуйте легендою через
guides()іtheme(legend.position=...). - Для великих перекриттів точок використовуйте
alpha < 1або бінування (geom_hex,geom_bin2d). - Якщо категорій багато, розгляньте фасетування або впорядкування факторів.
14.39 Приклад з лекції #39
Навіщо: Продемонструвати окремий прийом побудови/оформлення графіка.
Геометрії:
tile— відповідні типи елементів, які малюються поверх осей.Мапінґ
aes(...): визначає, які стовпці даних відображаються у вісьx/y, та естетикиcolor/fill/shape/size. Переконайтеся, що неперервні змінні не мапляться уshape.Шкали: використано налаштування шкал/палітр (наприклад, лог-шкала або колірні градієнти).
Коментарі/поради:
- Додавайте
labs(title, x, y, caption)для зрозумілих підписів. - Керуйте легендою через
guides()іtheme(legend.position=...). - Для великих перекриттів точок використовуйте
alpha < 1або бінування (geom_hex,geom_bin2d). - Якщо категорій багато, розгляньте фасетування або впорядкування факторів.
14.40 Приклад з лекції #40
Навіщо: Продемонструвати окремий прийом побудови/оформлення графіка.
Геометрії:
tile— відповідні типи елементів, які малюються поверх осей.Мапінґ
aes(...): визначає, які стовпці даних відображаються у вісьx/y, та естетикиcolor/fill/shape/size. Переконайтеся, що неперервні змінні не мапляться уshape.Шкали: використано налаштування шкал/палітр (наприклад, лог-шкала або колірні градієнти).
Коментарі/поради:
- Додавайте
labs(title, x, y, caption)для зрозумілих підписів. - Керуйте легендою через
guides()іtheme(legend.position=...). - Для великих перекриттів точок використовуйте
alpha < 1або бінування (geom_hex,geom_bin2d). - Якщо категорій багато, розгляньте фасетування або впорядкування факторів.
14.41 Приклад з лекції #41
Навіщо: Порівняння категорій за частотою або агрегованою метрикою.
Геометрії:
col— відповідні типи елементів, які малюються поверх осей.Мапінґ
aes(...): визначає, які стовпці даних відображаються у вісьx/y, та естетикиcolor/fill/shape/size. Переконайтеся, що неперервні змінні не мапляться уshape.Координати: застосовано
flipдля зміни системи координат/орієнтації.Шкали: використано налаштування шкал/палітр (наприклад, лог-шкала або колірні градієнти).
Коментарі/поради:
- Додавайте
labs(title, x, y, caption)для зрозумілих підписів. - Керуйте легендою через
guides()іtheme(legend.position=...). - Для великих перекриттів точок використовуйте
alpha < 1або бінування (geom_hex,geom_bin2d). - Якщо категорій багато, розгляньте фасетування або впорядкування факторів.
14.42 Приклад з лекції #42
Навіщо: Порівняння категорій за частотою або агрегованою метрикою.
Геометрії:
col— відповідні типи елементів, які малюються поверх осей.Мапінґ
aes(...): визначає, які стовпці даних відображаються у вісьx/y, та естетикиcolor/fill/shape/size. Переконайтеся, що неперервні змінні не мапляться уshape.Координати: застосовано
flipдля зміни системи координат/орієнтації.Шкали: використано налаштування шкал/палітр (наприклад, лог-шкала або колірні градієнти).
Коментарі/поради:
- Додавайте
labs(title, x, y, caption)для зрозумілих підписів. - Керуйте легендою через
guides()іtheme(legend.position=...). - Для великих перекриттів точок використовуйте
alpha < 1або бінування (geom_hex,geom_bin2d). - Якщо категорій багато, розгляньте фасетування або впорядкування факторів.
14.43 Приклад з лекції #43
Навіщо: Порівняння категорій за частотою або агрегованою метрикою.
Геометрії:
col— відповідні типи елементів, які малюються поверх осей.Мапінґ
aes(...): визначає, які стовпці даних відображаються у вісьx/y, та естетикиcolor/fill/shape/size. Переконайтеся, що неперервні змінні не мапляться уshape.Координати: застосовано
polarдля зміни системи координат/орієнтації.Шкали: використано налаштування шкал/палітр (наприклад, лог-шкала або колірні градієнти).
Коментарі/поради:
- Додавайте
labs(title, x, y, caption)для зрозумілих підписів. - Керуйте легендою через
guides()іtheme(legend.position=...). - Для великих перекриттів точок використовуйте
alpha < 1або бінування (geom_hex,geom_bin2d). - Якщо категорій багато, розгляньте фасетування або впорядкування факторів.
14.44 Приклад з лекції #44
Навіщо: Продемонструвати окремий прийом побудови/оформлення графіка.
Коментарі/поради:
- Додавайте
labs(title, x, y, caption)для зрозумілих підписів. - Керуйте легендою через
guides()іtheme(legend.position=...). - Для великих перекриттів точок використовуйте
alpha < 1або бінування (geom_hex,geom_bin2d). - Якщо категорій багато, розгляньте фасетування або впорядкування факторів.
14.45 Приклад з лекції #45
Навіщо: Кореляції/кластери між двома кількісними змінними.
Геометрії:
point— відповідні типи елементів, які малюються поверх осей.Мапінґ
aes(...): визначає, які стовпці даних відображаються у вісьx/y, та естетикиcolor/fill/shape/size. Переконайтеся, що неперервні змінні не мапляться уshape.Шкали: використано налаштування шкал/палітр (наприклад, лог-шкала або колірні градієнти).
Коментарі/поради:
- Додавайте
labs(title, x, y, caption)для зрозумілих підписів. - Керуйте легендою через
guides()іtheme(legend.position=...). - Для великих перекриттів точок використовуйте
alpha < 1або бінування (geom_hex,geom_bin2d). - Якщо категорій багато, розгляньте фасетування або впорядкування факторів.
14.46 Приклад з лекції #46
Навіщо: Кореляції/кластери між двома кількісними змінними.
Геометрії:
point— відповідні типи елементів, які малюються поверх осей.Мапінґ
aes(...): визначає, які стовпці даних відображаються у вісьx/y, та естетикиcolor/fill/shape/size. Переконайтеся, що неперервні змінні не мапляться уshape.Шкали: використано налаштування шкал/палітр (наприклад, лог-шкала або колірні градієнти).
Коментарі/поради:
- Додавайте
labs(title, x, y, caption)для зрозумілих підписів. - Керуйте легендою через
guides()іtheme(legend.position=...). - Для великих перекриттів точок використовуйте
alpha < 1або бінування (geom_hex,geom_bin2d). - Якщо категорій багато, розгляньте фасетування або впорядкування факторів.
14.47 Приклад з лекції #47
Навіщо: Кореляції/кластери між двома кількісними змінними.
Геометрії:
point— відповідні типи елементів, які малюються поверх осей.Мапінґ
aes(...): визначає, які стовпці даних відображаються у вісьx/y, та естетикиcolor/fill/shape/size. Переконайтеся, що неперервні змінні не мапляться уshape.
Коментарі/поради:
- Додавайте
labs(title, x, y, caption)для зрозумілих підписів. - Керуйте легендою через
guides()іtheme(legend.position=...). - Для великих перекриттів точок використовуйте
alpha < 1або бінування (geom_hex,geom_bin2d). - Якщо категорій багато, розгляньте фасетування або впорядкування факторів.
14.48 Приклад з лекції #48

Навіщо: Кореляції/кластери між двома кількісними змінними.
Геометрії:
point— відповідні типи елементів, які малюються поверх осей.Мапінґ
aes(...): визначає, які стовпці даних відображаються у вісьx/y, та естетикиcolor/fill/shape/size. Переконайтеся, що неперервні змінні не мапляться уshape.
Коментарі/поради:
- Додавайте
labs(title, x, y, caption)для зрозумілих підписів. - Керуйте легендою через
guides()іtheme(legend.position=...). - Для великих перекриттів точок використовуйте
alpha < 1або бінування (geom_hex,geom_bin2d). - Якщо категорій багато, розгляньте фасетування або впорядкування факторів.
14.49 Приклад з лекції #49
Навіщо: Кореляції/кластери між двома кількісними змінними.
Геометрії:
point— відповідні типи елементів, які малюються поверх осей.Мапінґ
aes(...): визначає, які стовпці даних відображаються у вісьx/y, та естетикиcolor/fill/shape/size. Переконайтеся, що неперервні змінні не мапляться уshape.Шкали: використано налаштування шкал/палітр (наприклад, лог-шкала або колірні градієнти).
Коментарі/поради:
- Додавайте
labs(title, x, y, caption)для зрозумілих підписів. - Керуйте легендою через
guides()іtheme(legend.position=...). - Для великих перекриттів точок використовуйте
alpha < 1або бінування (geom_hex,geom_bin2d). - Якщо категорій багато, розгляньте фасетування або впорядкування факторів.
14.50 Приклад з лекції #50
Навіщо: Кореляції/кластери між двома кількісними змінними.
Геометрії:
point— відповідні типи елементів, які малюються поверх осей.Мапінґ
aes(...): визначає, які стовпці даних відображаються у вісьx/y, та естетикиcolor/fill/shape/size. Переконайтеся, що неперервні змінні не мапляться уshape.Шкали: використано налаштування шкал/палітр (наприклад, лог-шкала або колірні градієнти).
Коментарі/поради:
- Додавайте
labs(title, x, y, caption)для зрозумілих підписів. - Керуйте легендою через
guides()іtheme(legend.position=...). - Для великих перекриттів точок використовуйте
alpha < 1або бінування (geom_hex,geom_bin2d). - Якщо категорій багато, розгляньте фасетування або впорядкування факторів.
14.51 Приклад з лекції #51
Навіщо: Кореляції/кластери між двома кількісними змінними.
Геометрії:
point— відповідні типи елементів, які малюються поверх осей.Мапінґ
aes(...): визначає, які стовпці даних відображаються у вісьx/y, та естетикиcolor/fill/shape/size. Переконайтеся, що неперервні змінні не мапляться уshape.
Коментарі/поради:
- Додавайте
labs(title, x, y, caption)для зрозумілих підписів. - Керуйте легендою через
guides()іtheme(legend.position=...). - Для великих перекриттів точок використовуйте
alpha < 1або бінування (geom_hex,geom_bin2d). - Якщо категорій багато, розгляньте фасетування або впорядкування факторів.
14.52 Приклад з лекції #52

Навіщо: Кореляції/кластери між двома кількісними змінними.
Геометрії:
point— відповідні типи елементів, які малюються поверх осей.Мапінґ
aes(...): визначає, які стовпці даних відображаються у вісьx/y, та естетикиcolor/fill/shape/size. Переконайтеся, що неперервні змінні не мапляться уshape.
Коментарі/поради:
- Додавайте
labs(title, x, y, caption)для зрозумілих підписів. - Керуйте легендою через
guides()іtheme(legend.position=...). - Для великих перекриттів точок використовуйте
alpha < 1або бінування (geom_hex,geom_bin2d). - Якщо категорій багато, розгляньте фасетування або впорядкування факторів.
14.53 Приклад з лекції #53
Навіщо: Кореляції/кластери між двома кількісними змінними.
Геометрії:
point— відповідні типи елементів, які малюються поверх осей.Мапінґ
aes(...): визначає, які стовпці даних відображаються у вісьx/y, та естетикиcolor/fill/shape/size. Переконайтеся, що неперервні змінні не мапляться уshape.
Коментарі/поради:
- Додавайте
labs(title, x, y, caption)для зрозумілих підписів. - Керуйте легендою через
guides()іtheme(legend.position=...). - Для великих перекриттів точок використовуйте
alpha < 1або бінування (geom_hex,geom_bin2d). - Якщо категорій багато, розгляньте фасетування або впорядкування факторів.
14.54 Приклад з лекції #54
Навіщо: Кореляції/кластери між двома кількісними змінними.
Геометрії:
point— відповідні типи елементів, які малюються поверх осей.Мапінґ
aes(...): визначає, які стовпці даних відображаються у вісьx/y, та естетикиcolor/fill/shape/size. Переконайтеся, що неперервні змінні не мапляться уshape.
Коментарі/поради:
- Додавайте
labs(title, x, y, caption)для зрозумілих підписів. - Керуйте легендою через
guides()іtheme(legend.position=...). - Для великих перекриттів точок використовуйте
alpha < 1або бінування (geom_hex,geom_bin2d). - Якщо категорій багато, розгляньте фасетування або впорядкування факторів.
14.55 Приклад з лекції #55
Code
ggplot(mtcars, aes(hp, mpg)) +
geom_point(size = 3) +
theme_minimal()Навіщо: Кореляції/кластери між двома кількісними змінними.
Геометрії:
point— відповідні типи елементів, які малюються поверх осей.Мапінґ
aes(...): визначає, які стовпці даних відображаються у вісьx/y, та естетикиcolor/fill/shape/size. Переконайтеся, що неперервні змінні не мапляться уshape.
Коментарі/поради:
- Додавайте
labs(title, x, y, caption)для зрозумілих підписів. - Керуйте легендою через
guides()іtheme(legend.position=...). - Для великих перекриттів точок використовуйте
alpha < 1або бінування (geom_hex,geom_bin2d). - Якщо категорій багато, розгляньте фасетування або впорядкування факторів.
14.56 Приклад з лекції #56
Навіщо: Кореляції/кластери між двома кількісними змінними.
Геометрії:
point— відповідні типи елементів, які малюються поверх осей.Мапінґ
aes(...): визначає, які стовпці даних відображаються у вісьx/y, та естетикиcolor/fill/shape/size. Переконайтеся, що неперервні змінні не мапляться уshape.
Коментарі/поради:
- Додавайте
labs(title, x, y, caption)для зрозумілих підписів. - Керуйте легендою через
guides()іtheme(legend.position=...). - Для великих перекриттів точок використовуйте
alpha < 1або бінування (geom_hex,geom_bin2d). - Якщо категорій багато, розгляньте фасетування або впорядкування факторів.
14.57 Приклад з лекції #57
Code
ggplot(mtcars, aes(hp, mpg)) +
geom_point(size = 3) +
theme_grey()Навіщо: Кореляції/кластери між двома кількісними змінними.
Геометрії:
point— відповідні типи елементів, які малюються поверх осей.Мапінґ
aes(...): визначає, які стовпці даних відображаються у вісьx/y, та естетикиcolor/fill/shape/size. Переконайтеся, що неперервні змінні не мапляться уshape.
Коментарі/поради:
- Додавайте
labs(title, x, y, caption)для зрозумілих підписів. - Керуйте легендою через
guides()іtheme(legend.position=...). - Для великих перекриттів точок використовуйте
alpha < 1або бінування (geom_hex,geom_bin2d). - Якщо категорій багато, розгляньте фасетування або впорядкування факторів.
14.58 Приклад з лекції #58
Навіщо: Кореляції/кластери між двома кількісними змінними.
Геометрії:
point— відповідні типи елементів, які малюються поверх осей.Мапінґ
aes(...): визначає, які стовпці даних відображаються у вісьx/y, та естетикиcolor/fill/shape/size. Переконайтеся, що неперервні змінні не мапляться уshape.
Коментарі/поради:
- Додавайте
labs(title, x, y, caption)для зрозумілих підписів. - Керуйте легендою через
guides()іtheme(legend.position=...). - Для великих перекриттів точок використовуйте
alpha < 1або бінування (geom_hex,geom_bin2d). - Якщо категорій багато, розгляньте фасетування або впорядкування факторів.
14.59 Приклад з лекції #59
Code
ggplot(mtcars, aes(hp, mpg)) +
geom_point(size = 3) +
theme_bw()Навіщо: Кореляції/кластери між двома кількісними змінними.
Геометрії:
point— відповідні типи елементів, які малюються поверх осей.Мапінґ
aes(...): визначає, які стовпці даних відображаються у вісьx/y, та естетикиcolor/fill/shape/size. Переконайтеся, що неперервні змінні не мапляться уshape.
Коментарі/поради:
- Додавайте
labs(title, x, y, caption)для зрозумілих підписів. - Керуйте легендою через
guides()іtheme(legend.position=...). - Для великих перекриттів точок використовуйте
alpha < 1або бінування (geom_hex,geom_bin2d). - Якщо категорій багато, розгляньте фасетування або впорядкування факторів.
14.60 0 Приклад з лекції #60
Навіщо: Кореляції/кластери між двома кількісними змінними.
Геометрії:
point— відповідні типи елементів, які малюються поверх осей.Мапінґ
aes(...): визначає, які стовпці даних відображаються у вісьx/y, та естетикиcolor/fill/shape/size. Переконайтеся, що неперервні змінні не мапляться уshape.
Коментарі/поради:
- Додавайте
labs(title, x, y, caption)для зрозумілих підписів. - Керуйте легендою через
guides()іtheme(legend.position=...). - Для великих перекриттів точок використовуйте
alpha < 1або бінування (geom_hex,geom_bin2d). - Якщо категорій багато, розгляньте фасетування або впорядкування факторів.
14.61 1 Приклад з лекції #61
Code
ggplot(mtcars, aes(hp, mpg)) +
geom_point(size = 3) +
theme_linedraw()Навіщо: Кореляції/кластери між двома кількісними змінними.
Геометрії:
point— відповідні типи елементів, які малюються поверх осей.Мапінґ
aes(...): визначає, які стовпці даних відображаються у вісьx/y, та естетикиcolor/fill/shape/size. Переконайтеся, що неперервні змінні не мапляться уshape.
Коментарі/поради:
- Додавайте
labs(title, x, y, caption)для зрозумілих підписів. - Керуйте легендою через
guides()іtheme(legend.position=...). - Для великих перекриттів точок використовуйте
alpha < 1або бінування (geom_hex,geom_bin2d). - Якщо категорій багато, розгляньте фасетування або впорядкування факторів.
14.62 2 Приклад з лекції #62
Навіщо: Кореляції/кластери між двома кількісними змінними.
Геометрії:
point— відповідні типи елементів, які малюються поверх осей.Мапінґ
aes(...): визначає, які стовпці даних відображаються у вісьx/y, та естетикиcolor/fill/shape/size. Переконайтеся, що неперервні змінні не мапляться уshape.
Коментарі/поради:
- Додавайте
labs(title, x, y, caption)для зрозумілих підписів. - Керуйте легендою через
guides()іtheme(legend.position=...). - Для великих перекриттів точок використовуйте
alpha < 1або бінування (geom_hex,geom_bin2d). - Якщо категорій багато, розгляньте фасетування або впорядкування факторів.
14.63 3 Приклад з лекції #63
Code
ggplot(mtcars, aes(hp, mpg)) +
geom_point(size = 3) +
theme_light()Навіщо: Кореляції/кластери між двома кількісними змінними.
Геометрії:
point— відповідні типи елементів, які малюються поверх осей.Мапінґ
aes(...): визначає, які стовпці даних відображаються у вісьx/y, та естетикиcolor/fill/shape/size. Переконайтеся, що неперервні змінні не мапляться уshape.
Коментарі/поради:
- Додавайте
labs(title, x, y, caption)для зрозумілих підписів. - Керуйте легендою через
guides()іtheme(legend.position=...). - Для великих перекриттів точок використовуйте
alpha < 1або бінування (geom_hex,geom_bin2d). - Якщо категорій багато, розгляньте фасетування або впорядкування факторів.
14.64 4 Приклад з лекції #64
Навіщо: Кореляції/кластери між двома кількісними змінними.
Геометрії:
point— відповідні типи елементів, які малюються поверх осей.Мапінґ
aes(...): визначає, які стовпці даних відображаються у вісьx/y, та естетикиcolor/fill/shape/size. Переконайтеся, що неперервні змінні не мапляться уshape.
Коментарі/поради:
- Додавайте
labs(title, x, y, caption)для зрозумілих підписів. - Керуйте легендою через
guides()іtheme(legend.position=...). - Для великих перекриттів точок використовуйте
alpha < 1або бінування (geom_hex,geom_bin2d). - Якщо категорій багато, розгляньте фасетування або впорядкування факторів.
14.65 5 Приклад з лекції #65
Code
ggplot(mtcars, aes(hp, mpg)) +
geom_point(size = 3) +
theme_dark()Навіщо: Кореляції/кластери між двома кількісними змінними.
Геометрії:
point— відповідні типи елементів, які малюються поверх осей.Мапінґ
aes(...): визначає, які стовпці даних відображаються у вісьx/y, та естетикиcolor/fill/shape/size. Переконайтеся, що неперервні змінні не мапляться уshape.
Коментарі/поради:
- Додавайте
labs(title, x, y, caption)для зрозумілих підписів. - Керуйте легендою через
guides()іtheme(legend.position=...). - Для великих перекриттів точок використовуйте
alpha < 1або бінування (geom_hex,geom_bin2d). - Якщо категорій багато, розгляньте фасетування або впорядкування факторів.
14.66 6 Приклад з лекції #66
Навіщо: Кореляції/кластери між двома кількісними змінними.
Геометрії:
point— відповідні типи елементів, які малюються поверх осей.Мапінґ
aes(...): визначає, які стовпці даних відображаються у вісьx/y, та естетикиcolor/fill/shape/size. Переконайтеся, що неперервні змінні не мапляться уshape.
Коментарі/поради:
- Додавайте
labs(title, x, y, caption)для зрозумілих підписів. - Керуйте легендою через
guides()іtheme(legend.position=...). - Для великих перекриттів точок використовуйте
alpha < 1або бінування (geom_hex,geom_bin2d). - Якщо категорій багато, розгляньте фасетування або впорядкування факторів.
14.67 7 Приклад з лекції #67
Code
ggplot(mtcars, aes(hp, mpg)) +
geom_point(size = 3) +
theme_classic()Навіщо: Кореляції/кластери між двома кількісними змінними.
Геометрії:
point— відповідні типи елементів, які малюються поверх осей.Мапінґ
aes(...): визначає, які стовпці даних відображаються у вісьx/y, та естетикиcolor/fill/shape/size. Переконайтеся, що неперервні змінні не мапляться уshape.
Коментарі/поради:
- Додавайте
labs(title, x, y, caption)для зрозумілих підписів. - Керуйте легендою через
guides()іtheme(legend.position=...). - Для великих перекриттів точок використовуйте
alpha < 1або бінування (geom_hex,geom_bin2d). - Якщо категорій багато, розгляньте фасетування або впорядкування факторів.
14.68 8 Приклад з лекції #68
Навіщо: Кореляції/кластери між двома кількісними змінними.
Геометрії:
point— відповідні типи елементів, які малюються поверх осей.Мапінґ
aes(...): визначає, які стовпці даних відображаються у вісьx/y, та естетикиcolor/fill/shape/size. Переконайтеся, що неперервні змінні не мапляться уshape.
Коментарі/поради:
- Додавайте
labs(title, x, y, caption)для зрозумілих підписів. - Керуйте легендою через
guides()іtheme(legend.position=...). - Для великих перекриттів точок використовуйте
alpha < 1або бінування (geom_hex,geom_bin2d). - Якщо категорій багато, розгляньте фасетування або впорядкування факторів.
14.69 9 Приклад з лекції #69
Code
Навіщо: Кореляції/кластери між двома кількісними змінними.
Геометрії:
point— відповідні типи елементів, які малюються поверх осей.Мапінґ
aes(...): визначає, які стовпці даних відображаються у вісьx/y, та естетикиcolor/fill/shape/size. Переконайтеся, що неперервні змінні не мапляться уshape.Шкали: використано налаштування шкал/палітр (наприклад, лог-шкала або колірні градієнти).
Коментарі/поради:
- Додавайте
labs(title, x, y, caption)для зрозумілих підписів. - Керуйте легендою через
guides()іtheme(legend.position=...). - Для великих перекриттів точок використовуйте
alpha < 1або бінування (geom_hex,geom_bin2d). - Якщо категорій багато, розгляньте фасетування або впорядкування факторів.
14.70 0 Приклад з лекції #70
Code
p_anim <- gapminder |>
slice(1:(12*12)) |>
ggplot(aes(
x=reorder(country, gdpPercap),
y=gdpPercap,
fill=continent)) +
geom_col() +
coord_flip() +
scale_y_log10() +
scale_fill_brand +
theme_brand() +
transition_states(year,
wrap=FALSE,
transition_length=5,
state_length=1)
animate(p_anim,
nframes=120,
fps=20,
width=900,
height=600,
renderer=gifski_renderer("gdp.gif"))
Навіщо: Порівняння категорій за частотою або агрегованою метрикою.
-
Геометрії:
col— відповідні типи елементів, які малюються поверх осей. -
Мапінґ
aes(...): визначає, які стовпці даних відображаються у вісьx/y, та естетикиcolor/fill/shape/size. Переконайтеся, що неперервні змінні не мапляться уshape. -
Координати: застосовано
flipдля зміни системи координат/орієнтації. - Шкали: використано налаштування шкал/палітр (наприклад, лог-шкала або колірні градієнти).
Коментарі/поради:
- Додавайте
labs(title, x, y, caption)для зрозумілих підписів. - Керуйте легендою через
guides()іtheme(legend.position=...). - Для великих перекриттів точок використовуйте
alpha < 1або бінування (geom_hex,geom_bin2d). - Якщо категорій багато, розгляньте фасетування або впорядкування факторів.
14.71 1 Приклад з лекції #71
Code
p <- ggplot(gapminder,
aes(gdpPercap,
lifeExp,
size = pop,
color = continent)) +
geom_point(alpha = 0.7) +
scale_color_viridis_d() +
scale_size(range = c(2, 12)) +
scale_x_log10() +
labs(
title = "Year: {frame_time}",
x = "GDP per capita",
y = "Life expectancy"
) +
transition_time(year) +
ease_aes("linear")
animate(p, nframes=120, fps=20,
width=900, height=600,
renderer=gifski_renderer("img/animation2.gif"))
Навіщо: Кореляції/кластери між двома кількісними змінними.
-
Геометрії:
point— відповідні типи елементів, які малюються поверх осей. -
Мапінґ
aes(...): визначає, які стовпці даних відображаються у вісьx/y, та естетикиcolor/fill/shape/size. Переконайтеся, що неперервні змінні не мапляться уshape. - Шкали: використано налаштування шкал/палітр (наприклад, лог-шкала або колірні градієнти).
Коментарі/поради:
- Додавайте
labs(title, x, y, caption)для зрозумілих підписів. - Керуйте легендою через
guides()іtheme(legend.position=...). - Для великих перекриттів точок використовуйте
alpha < 1або бінування (geom_hex,geom_bin2d). - Якщо категорій багато, розгляньте фасетування або впорядкування факторів.
15 Література й джерела 📚
- Слайди «R – Data Visualization»: grammar of graphics,
geom_point, фасетування,geom_smooth, теми, палітри таpatchwork. - A. Gohil, R Data Visualization Cookbook (Packt): рецепти щільностей/контурів (
stat_density2d), палітри та розширення екосистеми.




